软件使用风险揭示
尊敬的客户:
您好,本风险揭示是在我司已向您揭示《期货交易风险说明书》的基础上,针对软件使用的风险进行的再次风险揭示。
您在使用或终止我公司提供的交易软件前,我们需要向您特别说明:
一、我司提供的所有交易、行情软件均为第三方厂商开发,且行情软件由第三方厂商运营,交易及行情软件可能因软件自身的缺陷、硬件设备故障、网络通讯线路中断或人为操作的疏忽等原因导致您的期货交易发生损失;
二、我公司为规避交易风险,只允许您使用一种交易系统。若您选择恒生交易系统以外的系统时,我们将视为您同意放弃使用恒生交易系统作为交易软件进行交易的一切权利。期货账户的风险率等风险控制指标请以我司恒生交易系统为准。
三、我公司网站上所发布的行情及交易客户端软件,是为客户提供的一项增值服务。发布行情及交易软件同时还配发了《软件使用说明书》。请您认真阅读,谨慎选择。
四、请您在下载和使用中粮期货的网上交易软件之前,务必注意加强自身计算机安全防护,防止用于网上交易的计算机或手机终端感染木马、病毒,以免被恶意程序窃取口令;加强自身账号、口令的保护,不使用简单口令、定期修改口令、输入口令时防止他人偷看、不对他人泄露口令。
五、本揭示书为《期货经纪合同》不可分割的一部分,一切未能尽述事宜,按《期货经纪合同》中规定和约定执行。
中粮期货有限公司
我已阅读并知晓使用软件过程中带来的风险,且具备风险承受能力
请输入关键字
确定
当前所在页面:
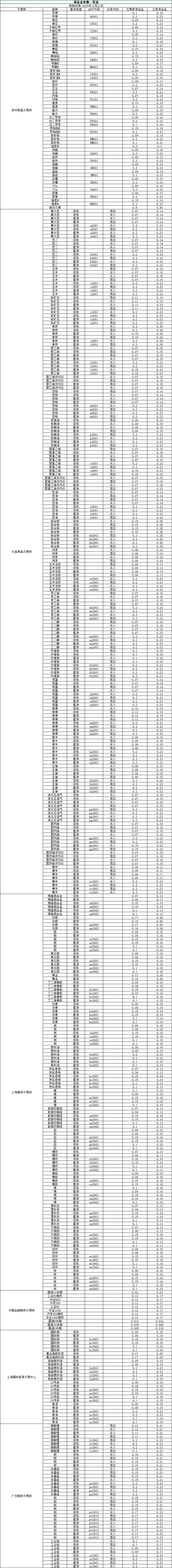
2025年12月31日保证金参数一览表
时间:2025.12.31